复杂性理论 :发现了一个按照计算难度给问题分类的完美体系
可计算性理论 :把问题分成可解和不可解
自动机理论 :论述计算的数学模型和定义和性质
集合
集合:是一组对象,把它作为一个整体。
集合中的对象称为:元素或成员
子集 :A ⊆ B A \subseteq B A ⊆ B
真子集 :A ⊈ B A \nsubseteq B A ⊈ B
多重集合 :考虑元素出现的次数
空集 :∅ \varnothing ∅
其他:
交集 :∩ \cap ∩
并集 :∪ \cup ∪
补集 :A ‾ \overline{A} A
序列和多元组
序列 :把一些对象按照某种顺序 排列成一列
又穷序列 :多元组
k k k 个元素的序列 :k元组
2元组 :有序对
笛卡尔积丨叉积
设A , B A,\ B A , B 是两个集合,A , B A,\ B A , B 的笛卡尔积丨叉积 是第一个元素位A A A 的成员,第二个元素位B的程用的所有有序对组成的集合,记作A × B A \times B A × B
k k k 个集合A 1 , A 2 , A 3 , ⋯ , A k A_1, A_2, A_3, \cdots, A_k A 1 , A 2 , A 3 , ⋯ , A k 的笛卡尔积,记作A 1 × A 2 × A 3 × ⋯ × A k A_1 \times A_2 \times A_3 \times \cdots \times A_k A 1 × A 2 × A 3 × ⋯ × A k ,它是由所有k元组( a 1 , a 2 , ⋯ , a k ) (a_1, a_2, \cdots, a_k) ( a 1 , a 2 , ⋯ , a k ) 组成的集合,其中a i ∈ A i a_i \in A_i a i ∈ A i
集合自身的笛卡尔积记作:A × A × ⋯ × A = A k A \times A \times \cdots \times A = A^k A × A × ⋯ × A = A k
函数丨关系
函数建立一个输入-输出的关系,记作
f ( a ) = b f(a) = b
f ( a ) = b
函数又称作映射,并且若f ( a ) = b f(a) =b f ( a ) = b ,则说f f f 把a a a 映射到b b b
定义域 :函数所有可能的输入组成的集合
值域 :函数的输出
f : D → R f: D \rightarrow R
f : D → R
k k k 元函数 :k k k 个自变量的函数
元数 :k k k
一元函数 :k = 1 k=1 k = 1 的时候
二元函数 :k = 2 k=2 k = 2 的时候
谓词丨性质
谓词或性质是值域伪True,False的函数。
例:当even是谓词时,输入是偶数为True,奇数时为False
等价关系
一种特殊的二元 关系
R R R 是自反的 ,集对每一个x x x ,x R y xRy x R y
R R R 是对称的 ,集对每一个x x x 和y y y ,x R y xRy x R y 当且仅当y R x yRx y R x
R R R 是传递的的 ,集对每一个x , y x, y x , y 和z z z ,x R y xRy x R y 和y R z yRz y R z 可推出x R z xRz x R z
图
无向图 又简称为图 :是一个点的集合和连接其中的某些点的线段
顶点 :图中的点
边 :图中的边
顶点的度数 :以这个顶点为端点的边的数目
概念:
子图 :如果图G G G 的顶点集是图H H H 的顶点集,则G G G 是H H H 的子图
路径 :由边连接的顶点序列
简单路径 :没有顶点重复的路径
简单圈 :只有最后一个点和第一个的重复的圈
有向图
用箭头代替线段
概念:
出度 :一个顶点引出的箭头数
入度 :指向一个顶点的箭头数
有向路径 :所有箭头的方向都与其前进的方向一致的路径
强连通 :每一个顶点到另一个顶点都有一条有向路径
字符串数语言
字母表 :任意一个又穷集合
字母表的成员 :是该字母表的符号 ,记作Σ \Sigma Σ 和Γ \Gamma Γ
例:
Σ 1 = ∣ 0 , 1 ∣ \Sigma_1 = \begin{vmatrix}
0, & 1
\end{vmatrix}
Σ 1 = ∣ ∣ 0 , 1 ∣ ∣
Σ 1 = ∣ a , b , c , ⋯ , z ∣ \Sigma_1 = \begin{vmatrix}
a, & b, & c, & \cdots, & z
\end{vmatrix}
Σ 1 = ∣ ∣ a , b , c , ⋯ , z ∣ ∣
设Σ 1 = ∣ 0 , 1 ∣ \Sigma_1 = \begin{vmatrix}0, & 1\end{vmatrix} Σ 1 = ∣ ∣ 0 , 1 ∣ ∣ ,则01001是Σ 1 \Sigma_1 Σ 1 上的一个字符串
长度 :字符串包含的符号数
空串 :长度为0的字符串
反转 :按照相反的顺序写源字符串所得到的字符串,记作w R w^R w R
子串 :如果字符串z z z 连续出现在w w w 中,则z z z 是w w w 的子串
连结 :设x x x 和y y y 为字符串,把y y y 附加在x x x 后面为连结 ,记作x y xy x y
自身连结 :记作x k x^k x k ,记为自身连结k k k 次
字符串的字典序 :同字母表顺序
布尔逻辑
布尔逻辑是建立在两个值True和False的数学体系,True和False称为布尔值
运算:
或非NOT运算 :
¬ 1 = 0 \neg 1 = 0 ¬ 1 = 0
¬ 0 = 1 \neg 0 = 1 ¬ 0 = 1
合并或AND运算 :∧ \wedge ∧
析取或OR运算 :∨ \vee ∨
其他布尔运算:
异或或者XOR运算 :⊕ \oplus ⊕
等值运算 :↔ \leftrightarrow ↔
蕴涵运算 :→ \rightarrow →
AND,OR分配律:
P ∧ ( Q ∨ R ) = = ( P ∧ Q ) ∨ ( P ∧ R ) P \wedge (Q \vee R) == (P \wedge Q) \vee (P \wedge R) P ∧ ( Q ∨ R ) = = ( P ∧ Q ) ∨ ( P ∧ R )
P ∨ ( Q ∧ R ) = = ( P ∨ Q ) ∧ ( P ∨ R ) P \vee (Q \wedge R) == (P \vee Q) \wedge (P \vee R) P ∨ ( Q ∧ R ) = = ( P ∨ Q ) ∧ ( P ∨ R )
定理、定理和证明
定义 :描述我们使用的对象和概念
数学命题 :表述某一个对象具有某种心智
证明 :一种逻辑
定理 :被证明为帧的数学命题
引理 :帮助我们证明其他更有意义命题的命题
推论 :一个定理或它的证明可以使我们容易得出另外一些有关命题为真的结论
寻找证明
P P P 仅当Q Q Q :若P P P 为真,则Q Q Q 为真,写作P ⇒ Q P \Rightarrow Q P ⇒ Q
P P P 当Q Q Q :若Q Q Q 为真,则P P P 为真,写作P ⇐ Q P \Leftarrow Q P ⇐ Q
P P P 当且仅当Q Q Q :写作P ⇔ Q P \Leftrightarrow Q P ⇔ Q
证明的类型
构造性证明
反证法
证明方法:假设这个定理为假,然后证明这个假设导致的一个明显错误的结论
归纳法:证明无穷集合的所有元素都有一种特定性质的高级方法
自动机与语言
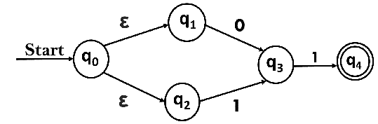
确定型有穷自动机
有穷自动机是关于储存量极其有限的计算机的很好的模型。
上图为M 1 M_1 M 1 的状态图
状态 :q 1 , q 2 , q 3 q_1, q_2, q_3 q 1 , q 2 , q 3
起始状态 :q 1 q_1 q 1
接受状态 :q 2 q_2 q 2
转移 :一个状态指向另外一个状态的箭头
自动机从左至右一个接一个接受输入串的所有符号
读取到符号后,M 1 M_1 M 1 沿着标有符号的转移从一个状态移动到另一个状态
读取到最后一个符号后,M 1 M_1 M 1 产生它的输出
确定型有穷自动机的形式定义
有穷自动机是一个5元组(Q , Σ , δ , q 0 , F Q, \Sigma, \delta, q_0, F Q , Σ , δ , q 0 , F )
Q Q Q 是一个有穷集合,叫做状态集
Σ \Sigma Σ 是一个有穷集合,叫做字母集
δ \delta δ :Q × Σ → Q Q \times \Sigma \rightarrow Q Q × Σ → Q 是转移函数
q 0 ∈ Q q_0 \in Q q 0 ∈ Q 是起始状态
F ⊂ Q F \subset Q F ⊂ Q 是接受状态集
设A A A 是机器M接受的全部字符串集,称A A A 是机器M M M 的语言,记作L ( M ) = A L(M) = A L ( M ) = A ,称M M M 识别 A A A 或M M M 接受 A A A
L ( M ) = A L(M) = A
L ( M ) = A
一台机器可能接受若干字符串,但是只能识别一个语言
如果机器不接受任何字符串,但它仍然识别一个语言:∅ \varnothing ∅
确定型有穷自动机的数学形式定义
设M = ( Q , Σ , δ , q 0 , F ) M = (Q, \Sigma, \delta, q_0, F) M = ( Q , Σ , δ , q 0 , F ) 是一台有穷自动机,w = w 1 w 2 ⋯ w n w=w_1w_2\cdots{}w_n w = w 1 w 2 ⋯ w n 是字母集Σ \Sigma Σ 上的一个字符串,如果存在Q Q Q 中的状态序列r 0 , r 2 , ⋯ , r n r_0, r_2, \cdots, r_n r 0 , r 2 , ⋯ , r n 满足以下条件:
r 0 = q 0 r_0 = q_0 r 0 = q 0
δ ( r i , w i + 1 ) = r r + i , i = 0 , 1 , ⋯ , n − 1 \delta(r_i, w_{i+1}) = r_{r+i}, \quad i=0,1,\cdots,n-1 δ ( r i , w i + 1 ) = r r + i , i = 0 , 1 , ⋯ , n − 1
r n ∈ F r_n \in F r n ∈ F
则M M M 接受w w w
如果A = { w ∣ M 接受 w } A = \lbrace w | M\text{接受}w \rbrace A = { w ∣ M 接受 w } ,则称M M M 识别语言A A A
正则语言 :如果一个语言被一台有穷自动机识别,则称他是正则语言
非确定性有穷自动机
确定型有穷自动机(DFA) :下一个状态是确定的
非确定型有穷自动机(NFA) :下一个状态是不确定的
一个状态对于字母表中的每一个符号可能有0个,1个或多个射出的箭头
箭头可以标记字母表中的符号或ε \varepsilon ε (空字符串 )
遇到多种选择,机器将分裂(出一个备份),形成类似多线程
如果下一个输入符号不出现在她所处的状态射出的任何箭头上,此分支废弃
如果机器的某一个备份(分支)处于接受状态,则NFA接受输入串
如果遇到射出箭头有ε \varepsilon ε ,机器不读取输入,分裂为多个备份
每一个标记ε \varepsilon ε 的射出箭头有一个备份跟踪(ε \varepsilon ε 指向的状态)
有一个备份停留在当前状态
然后和之前一样的多线程的方式继续执行
非确定型有穷自动机的形式定义
在NFA在,转移函数取一个状态和一个输入符号,产生下一个状态的集合
引入形式符号P ( Q ) P(Q) P ( Q ) 为Q Q Q 的所有子集组成的集合,称P ( Q ) P(Q) P ( Q ) 是Q的幂集
对于任意字母表Σ \Sigma Σ ,把Σ ∪ { ε } \Sigma \cup \lbrace \varepsilon \rbrace Σ ∪ { ε } ,记作Σ ε \Sigma_\varepsilon Σ ε
转移函数:δ : Q × Σ ε → P ( Q ) \delta: Q \times \Sigma_\varepsilon \rightarrow P(Q) δ : Q × Σ ε → P ( Q )
非确定型有穷自动机是一个5元组(Q , Σ , δ , q 0 , F Q, \Sigma, \delta, q_0, F Q , Σ , δ , q 0 , F )
Q Q Q 是一个有穷集合,叫做状态集
Σ \Sigma Σ 是一个有穷集合,叫做字母集
δ \delta δ :Q × Σ ε → P ( Q ) Q \times \Sigma_\varepsilon \rightarrow P(Q) Q × Σ ε → P ( Q ) 是转移函数
q 0 ∈ Q q_0 \in Q q 0 ∈ Q 是起始状态
F ⊂ Q F \subset Q F ⊂ Q 是接受状态集
非确定型有穷自动机的数学形式定义
设N = ( Q , Σ , δ , q 0 , F ) N = (Q, \Sigma, \delta, q_0, F) N = ( Q , Σ , δ , q 0 , F ) 是一台NFA,w = y 1 y 2 ⋯ y n w=y_1y_2\cdots{}y_n w = y 1 y 2 ⋯ y n 是字母集Σ ε \Sigma_\varepsilon Σ ε 上的一个字符串,如果存在Q Q Q 中的状态序列r 0 , r 2 , ⋯ , r m r_0, r_2, \cdots, r_m r 0 , r 2 , ⋯ , r m 满足以下条件:
r 0 = q 0 r_0 = q_0 r 0 = q 0
r i + 1 ∈ δ ( r i , y i + 1 ) = r r + i , i = 0 , 1 , ⋯ , m − 1 r_{i+1} \in \delta(r_i, y_{i+1}) = r_{r+i}, \quad i=0,1,\cdots,m-1 r i + 1 ∈ δ ( r i , y i + 1 ) = r r + i , i = 0 , 1 , ⋯ , m − 1
r m ∈ F r_m \in F r m ∈ F
则N N N 接受w w w
NFA与DFA的等价性
定理:确定型和非确定型有穷自动机识别相同的语言类,如果两台机器识别相同的语言,则称他们是等价 的
每一台非确定型有穷自动机都有一台等价的确定型有穷自动机
设k k k 是NFA的状态数,它有2 k 2^k 2 k 个状态子集,所以DFA也有2 k 2^k 2 k 个状态子集
设N = ( Q , Σ , δ , q 0 , F ) N = (Q, \Sigma, \delta, q_0, F) N = ( Q , Σ , δ , q 0 , F ) 是识别语言A的NFA,假设N N N 没有ε \varepsilon ε 箭头
构造M = ( Q , Σ , δ , q 0 , F ) M = (Q, \Sigma, \delta, q_0, F) M = ( Q , Σ , δ , q 0 , F )
M M M 的每一个状态是N N N 的一个状态子集,P ( Q ) P(Q) P ( Q ) 是Q Q Q 的所有子集组成的集合
对于R ∈ Q ′ R \in Q' R ∈ Q ′ 和a ∈ Σ a \in \Sigma a ∈ Σ ,令δ ′ ( R , a ) = { q ∈ Q } \delta'(R, a) = \lbrace q \in Q \rbrace δ ′ ( R , a ) = { q ∈ Q } 存在r ∈ R r \in R r ∈ R ,使得q ∈ δ ( r , a ) q \in \delta(r, a) q ∈ δ ( r , a )
如果R R R 是M M M 的一个状态,则他是N N N 的一个状态子集,也可以写成
δ ′ ( R , a ) = ⋃ r ∈ R δ ( r , a ) \delta'(R, a) = \bigcup_{r \in R} \delta(r, a)
δ ′ ( R , a ) = r ∈ R ⋃ δ ( r , a )
q 0 ′ = { q 0 } q'_0 = \lbrace q_0 \rbrace q 0 ′ = { q 0 }
M M M 开始时所在的状态对应于只含N N N 的起始状态的集合
F ′ = { R ∈ Q ′ ∣ R 包含N的一个接受状态 } F' = \lbrace R \in Q' | R \text{包含N的一个接受状态} \rbrace F ′ = { R ∈ Q ′ ∣ R 包含 N 的一个接受状态 }
考虑ε \varepsilon ε 的情况 :
引入一个记号,对于M M M 的任意一个状态R R R ,定义E ( R ) E(R) E ( R ) 为从R R R 出发只沿着ε \varepsilon ε 箭头可以到达的状态集合,包括R R R 本身。对于R ⊆ Q R \subseteq Q R ⊆ Q ,令
E ( R ) = { q ∣ 从 R 出发的沿着 0 个或多个 ε 箭头可以达到 q } E(R) = \lbrace q | \text{从}R\text{出发的沿着}0\text{个或多个}\varepsilon\text{箭头可以达到}q \rbrace
E ( R ) = { q ∣ 从 R 出发的沿着 0 个或多个 ε 箭头可以达到 q }
为了达到沿着ε \varepsilon ε 箭头的所有状态,用E ( δ ( r , a ) ) E(\delta(r,a)) E ( δ ( r , a ) ) 代替δ ( r , a ) \delta(r,a) δ ( r , a )
δ ′ ( R , a ) = { q ∈ Q ∣ ∃ r ∈ R → Q ∈ E ( δ ( r , a ) ) } \delta'(R, a) = \lbrace q \in Q | \exists r \in R \rightarrow Q \in E(\delta(r, a)) \rbrace
δ ′ ( R , a ) = { q ∈ Q ∣ ∃ r ∈ R → Q ∈ E ( δ ( r , a ) ) }
同时,对于起始状态,把q 0 ′ q_0' q 0 ′ 改为E ( { q 0 } ) E(\lbrace q_0 \rbrace) E ( { q 0 } ) 符合要求。
定理:一个语言时正则的,当且仅当有一台非确定型有穷自动机识别它
NFA转换DFA给过程
设k k k 是NFA的状态数,它有2 k 2^k 2 k 个状态子集,所以DFA也有2 k 2^k 2 k 个状态子集
{ ∅ , { 1 } , { 2 } , { 3 } , { 1 , 2 } , ⋯ } \lbrace \varnothing, \lbrace 1 \rbrace, \lbrace 2 \rbrace, \lbrace 3 \rbrace, \lbrace 1,2 \rbrace, \cdots \rbrace
{ ∅ , { 1 } , { 2 } , { 3 } , { 1 , 2 } , ⋯ }
接受状态集是DFA的所有包含接收状态的状态子集
确定DFA的转移函数
对于每一个字符串,遍历所有状态的输入和输出
状态x x x 遇到a a a 到y y y ,则x → a { y } x \xrightarrow{\quad a \quad} \lbrace y \rbrace x a { y }
状态x x x 遇到a a a 到y , z y, z y , z ,则x → a { y , z } x \xrightarrow{\quad a \quad} \lbrace y, z \rbrace x a { y , z }
状态x x x 遇到a a a 没有输出,则x → a ∅ x \xrightarrow{\quad a \quad} \varnothing x a ∅
状态x x x 遇到a a a 到y y y ,状态y y y 遇到a a a 到z z z ,则{ x , y } → a { y , z } \lbrace x, y \rbrace \xrightarrow{\quad a \quad} \lbrace y, z \rbrace { x , y } a { y , z }
DFA中对于没有射入状态,可以删除进行简化
正则语言
设A A A 和B B B 是两个语言,定义正则运算
并 :A ∪ B = { x ∣ x ∈ A 或 x ∈ B } A \cup B = \lbrace x\ |\ x \in A \text{或} x \in B \rbrace A ∪ B = { x ∣ x ∈ A 或 x ∈ B }
连结 :A ∘ B = { x y ∣ x ∈ A 且 x ∈ B } A \circ B = \lbrace xy\ |\ x \in A \text{且} x \in B \rbrace A ∘ B = { x y ∣ x ∈ A 且 x ∈ B }
星号 :A ∗ = { x 1 x 2 ⋯ x k ∣ k ≥ 0 且每一个 x i ∈ A } A^* = \lbrace x_1x_2\cdots x_k\ |\ k \geq 0\text{且每一个}x_i \in A \rbrace A ∗ = { x 1 x 2 ⋯ x k ∣ k ≥ 0 且每一个 x i ∈ A }
正则语言的并运算
定理:正则语言类在并运算下封闭
设N 1 N_1 N 1 识别A 1 A_1 A 1 ,N 2 N_2 N 2 识别A 2 A_2 A 2 ,其中
N 1 = { Q 1 , Σ , δ 1 , q 1 , F 1 } N 2 = { Q 2 , Σ , δ 2 , q 2 , F 2 } \begin{aligned}
N_1 &= \{Q_1, \Sigma, \delta_1, q_1, F_1\}
\\
N_2 &= \{Q_2, \Sigma, \delta_2, q_2, F_2\}
\end{aligned}
N 1 N 2 = { Q 1 , Σ , δ 1 , q 1 , F 1 } = { Q 2 , Σ , δ 2 , q 2 , F 2 }
构造识别A 1 ∪ A 2 A_1 \cup A_2 A 1 ∪ A 2 的N N N
N = ( Q , Σ , δ , q 0 , F ) N = (Q, \Sigma, \delta, q_0, F)
N = ( Q , Σ , δ , q 0 , F )
Q Q Q :N 1 N_1 N 1 和N 2 N_2 N 2 的所有状态Q 1 ∪ Q 2 ∪ { q 0 } Q_1 \cup Q_2 \cup \lbrace q_0 \rbrace Q 1 ∪ Q 2 ∪ { q 0 }
q 0 q_0 q 0 :N 1 N_1 N 1 和N 2 N_2 N 2 的开始状态
q q q :q 0 q_0 q 0
F F F :F 1 ∪ F 2 F_1 \cup F_2 F 1 ∪ F 2
定义δ \delta δ 如下,对每一个q ∈ Q q \in Q q ∈ Q 和每一个a ∈ Σ ε a \in \Sigma_\varepsilon a ∈ Σ ε ,令
δ ( q , a ) = { δ 1 ( q , a ) , 若 q ∈ Q 1 δ 2 ( q , a ) , 若 q ∈ Q 2 { q 1 , q 2 } , 若 q = q 0 , 且 a = ε ∅ , 若 q = q 0 , 且 a ≠ ε \delta(q, a) = \begin{cases}
\delta_1(q,a), &\text{若}q \in Q_1
\\
\delta_2(q,a), &\text{若}q \in Q_2
\\
\lbrace q_1, q_2 \rbrace, &\text{若}q = q_0, \text{且} a = \varepsilon
\\
\varnothing, &\text{若}q = q_0, \text{且} a \neq \varepsilon
\end{cases}
δ ( q , a ) = ⎩ ⎪ ⎪ ⎪ ⎨ ⎪ ⎪ ⎪ ⎧ δ 1 ( q , a ) , δ 2 ( q , a ) , { q 1 , q 2 } , ∅ , 若 q ∈ Q 1 若 q ∈ Q 2 若 q = q 0 , 且 a = ε 若 q = q 0 , 且 a = ε
正则语言的连结运算
定理:正则语言类在连结运算下封闭
设两台NFA,N 1 N_1 N 1 识别A 1 A_1 A 1 ,N 2 N_2 N 2 识别A 2 A_2 A 2 ,其中
N 1 = { Q 1 , Σ , δ 1 , q 1 , F 1 } N 2 = { Q 2 , Σ , δ 2 , q 2 , F 2 } \begin{aligned}
N_1 &= \{Q_1, \Sigma, \delta_1, q_1, F_1\}
\\
N_2 &= \{Q_2, \Sigma, \delta_2, q_2, F_2\}
\end{aligned}
N 1 N 2 = { Q 1 , Σ , δ 1 , q 1 , F 1 } = { Q 2 , Σ , δ 2 , q 2 , F 2 }
构造识别A ∘ B A \circ B A ∘ B 的N N N
N = { Q , Σ , δ , q , F } N = \{Q, \Sigma, \delta, q, F\}
N = { Q , Σ , δ , q , F }
Q Q Q :N 1 N_1 N 1 和N 2 N_2 N 2 的所有状态Q 1 ∪ Q 2 Q_1 \cup Q_2 Q 1 ∪ Q 2
q q q :N 1 N_1 N 1 的起始状态q 1 q_1 q 1
F F F :N 2 N_2 N 2 的接受状态集F 2 F_2 F 2
定义δ \delta δ 如下,对每一个q ∈ Q q \in Q q ∈ Q 和每一个a ∈ Σ ε a \in \Sigma_\varepsilon a ∈ Σ ε ,令
δ ( q , a ) = { δ 1 ( q , a ) , 若 q ∈ Q 1 , 且 q ∉ F 1 δ 1 ( q , a ) , 若 q ∈ F 1 , 且 a ≠ ε δ 1 ( q , a ) ∪ { q 2 } , 若 q ∈ F 1 , 且 a = ε δ 2 ( q , a ) , 若 q ∈ Q 2 \delta(q, a) = \begin{cases}
\delta_1(q,a), &\text{若}q \in Q_1, \text{且}q \notin F_1
\\
\delta_1(q,a), &\text{若}q \in F_1, \text{且}a \neq \varepsilon
\\
\delta_1(q,a) \cup \lbrace q_2 \rbrace, &\text{若}q \in F_1, \text{且}a = \varepsilon
\\
\delta_2(q,a), &\text{若}q \in Q_2
\end{cases}
δ ( q , a ) = ⎩ ⎪ ⎪ ⎪ ⎨ ⎪ ⎪ ⎪ ⎧ δ 1 ( q , a ) , δ 1 ( q , a ) , δ 1 ( q , a ) ∪ { q 2 } , δ 2 ( q , a ) , 若 q ∈ Q 1 , 且 q ∈ / F 1 若 q ∈ F 1 , 且 a = ε 若 q ∈ F 1 , 且 a = ε 若 q ∈ Q 2
正则语言的星号运算
定理:正则语言类在星号运算下封闭
设N 1 = ( Q 1 , Σ , δ 1 , q 1 , F 1 ) N_1 = (Q_1, \Sigma, \delta_1, q_1, F_1) N 1 = ( Q 1 , Σ , δ 1 , q 1 , F 1 ) 识别A 1 A_1 A 1 ,构造识别A ∗ A^* A ∗ 的N = ( Q , Σ , δ , q 0 , F ) N=(Q, \Sigma, \delta, q_0, F) N = ( Q , Σ , δ , q 0 , F )
Q Q Q :Q 1 ∪ { q 0 } Q_1 \cup \lbrace q_0 \rbrace Q 1 ∪ { q 0 }
q q q :q 0 q_0 q 0
F F F :{ q 0 } ∪ F 1 \lbrace q_0 \rbrace \cup F_1 { q 0 } ∪ F 1
定义δ \delta δ 如下,对每一个q ∈ Q q \in Q q ∈ Q 和每一个a ∈ Σ ε a \in \Sigma_\varepsilon a ∈ Σ ε ,令
δ ( q , a ) = { δ 1 ( q , a ) , 若 q ∈ Q 1 , 且 q ∉ F 1 δ 1 ( q , a ) , 若 q ∈ F 1 , 且 a ≠ ε δ 1 ( q , a ) ∪ { q 1 } , 若 q ∈ F 1 , 且 a = ε { q 1 } , 若 q = q 0 , 且 a = ε ∅ , 若 q = q 0 , 且 a ≠ ε \delta(q, a) = \begin{cases}
\delta_1(q,a), &\text{若}q \in Q_1, \text{且}q \notin F_1
\\
\delta_1(q,a), &\text{若}q \in F_1, \text{且}a \neq \varepsilon
\\
\delta_1(q,a) \cup \lbrace q_1 \rbrace, &\text{若}q \in F_1, \text{且}a = \varepsilon
\\
\lbrace q_1 \rbrace, &\text{若}q = q_0, \text{且}a = \varepsilon
\\
\varnothing, &\text{若}q = q_0, \text{且}a \neq \varepsilon
\end{cases}
δ ( q , a ) = ⎩ ⎪ ⎪ ⎪ ⎪ ⎪ ⎪ ⎨ ⎪ ⎪ ⎪ ⎪ ⎪ ⎪ ⎧ δ 1 ( q , a ) , δ 1 ( q , a ) , δ 1 ( q , a ) ∪ { q 1 } , { q 1 } , ∅ , 若 q ∈ Q 1 , 且 q ∈ / F 1 若 q ∈ F 1 , 且 a = ε 若 q ∈ F 1 , 且 a = ε 若 q = q 0 , 且 a = ε 若 q = q 0 , 且 a = ε
正则表达式
利用正则运算符构造描述语言的表达式,称作正则表达式 ,例如
( 0 ∪ 1 ) 0 ∗ = ( 0 ∪ 1 ) ∘ 0 ∗ \begin{aligned}
(0 \cup 1)& 0^*
\\
= (0 \cup 1)& \circ 0^*
\end{aligned}
( 0 ∪ 1 ) = ( 0 ∪ 1 ) 0 ∗ ∘ 0 ∗
Σ \Sigma Σ :描述该字母表上所有长度为1的字符串组成的语言
Σ ∗ \Sigma^* Σ ∗ :描述该字母表上所有字符串组成的语言
Σ ∗ 1 \Sigma^*1 Σ ∗ 1 :包含所有以1 1 1 结尾的字符串的语言
( 0 Σ ∗ ) ∪ ( Σ ∗ 1 ) (0 \Sigma^*)\cup(\Sigma^*1) ( 0 Σ ∗ ) ∪ ( Σ ∗ 1 ) :包含所有以0 0 0 开始或者以1 1 1 结尾的字符串的语言
正则表达式运算
a ∪ a = a a \cup a = a a ∪ a = a
a ∪ b = b ∪ a a \cup b = b \cup a a ∪ b = b ∪ a
a ∗ = a ∗ a ∗ = ( a ∗ ) ∗ = a ∪ a ∗ a^* = a^*a^* = (a^*)^* = a \cup a^* a ∗ = a ∗ a ∗ = ( a ∗ ) ∗ = a ∪ a ∗
a ∗ = ε ∪ a ∗ = ε ∪ a a ∗ = ( ε ∪ a ) ∗ a^* = \varepsilon \cup a^* = \varepsilon \cup aa^* = (\varepsilon \cup a)^* a ∗ = ε ∪ a ∗ = ε ∪ a a ∗ = ( ε ∪ a ) ∗
( a ∪ b ) ∗ = ( b ∪ a ) ∗ (a \cup b)^* = (b \cup a)^* ( a ∪ b ) ∗ = ( b ∪ a ) ∗
( a ∪ b ) ∗ = ( a ∗ ∪ b ∗ ) ∗ = ( a ∗ b ∗ ) ∗ (a \cup b)^* = (a^* \cup b^*)^* = (a^*b^*)^* ( a ∪ b ) ∗ = ( a ∗ ∪ b ∗ ) ∗ = ( a ∗ b ∗ ) ∗
( a ∪ b ) ∗ = ( a ∗ b ∗ ) ∗ a ∗ = a ∗ ( b a ∗ ) ∗ (a \cup b)^* =(a^*b^*)^*a^* = a^*(ba^*)^* ( a ∪ b ) ∗ = ( a ∗ b ∗ ) ∗ a ∗ = a ∗ ( b a ∗ ) ∗
( a ∪ b ) ∗ = ( a ∪ b ) ∗ ∪ a (a \cup b)^* = (a \cup b)^* \cup a ( a ∪ b ) ∗ = ( a ∪ b ) ∗ ∪ a
( a ∪ b ) ∗ ≠ a ∗ ∪ b ∗ (a \cup b)^* \neq a^* \cup b^* ( a ∪ b ) ∗ = a ∗ ∪ b ∗
( a ∪ b ) ∗ ≠ a ∗ b ∗ (a \cup b)^* \neq a^*b^* ( a ∪ b ) ∗ = a ∗ b ∗
正则表达式的形式定义
称R R R 是一个正则表达式,如果R R R 是
a a a ,这里a a a 是字母表Σ \Sigma Σ 中的一个元素
ε \varepsilon ε :{ ε } \lbrace \varepsilon \rbrace { ε } ,空串
∅ \varnothing ∅ :空语言
( R 1 ∪ R 2 ) (R_1 \cup R_2) ( R 1 ∪ R 2 ) ,这里R 1 R_1 R 1 和R 2 R_2 R 2 是正则表达式
( R 1 ∘ R 2 ) (R_1 \circ R_2) ( R 1 ∘ R 2 ) ,这里R 1 R_1 R 1 和R 2 R_2 R 2 是正则表达式
( R 1 ∗ ) (R_1^*) ( R 1 ∗ ) ,这里R 1 R_1 R 1 是正则表达式
这里使用R 1 R_1 R 1 和R 2 R_2 R 2 定义R R R ,其中R 1 R_1 R 1 和R 2 R_2 R 2 总是比R R R 要小,类似一种递归,这样的叫做归纳定义
表达式可以省去括号,计算顺序:
星号
连结
并
一些较为特殊的正则表达式
( Σ Σ ) ∗ (\Sigma\Sigma)* ( Σ Σ ) ∗ :{ w ∣ w 是偶长度的字符串 } \lbrace w|w\text{是偶长度的字符串}\rbrace { w ∣ w 是偶长度的字符串 }
1 ∗ ∅ 1*\varnothing 1 ∗ ∅ :∅ \varnothing ∅
∅ ∗ \varnothing^* ∅ ∗ :{ ∅ } \lbrace \varnothing \rbrace { ∅ }
R ∪ ∅ = R R \cup \varnothing = R R ∪ ∅ = R
R ∘ ε = R R \circ \varepsilon = R R ∘ ε = R
R ∪ ε R \cup \varepsilon R ∪ ε 不一定等于R R R
R ∘ ∅ R \circ \varnothing R ∘ ∅ 不一定等于R R R
程序设计语言中基本对象叫做单字 ,如变量名和长了,他们可以用正则表达式描述
只要程序设计语言中单字的语法用正则表达式描述出来,自动系统能够生成词法分析程序
这个是编译程序的一部分,用在开始阶段处理输入程序
正则表达式与有穷自动机的等价性
正则表达式和有穷自动机的描述能力是等价的
定理 :一个语言是正则的,当且仅当可以用正则表达式描述它
引理 :如果一个语言可以用正则表达式描述,则它是正则的
把R R R 转换成一台NFAN N N ,需要考虑6种情况
R = a R = a R = a ,这里a ∈ Σ a \in \Sigma a ∈ Σ ,那么L ( R ) = { a } L(R) = \lbrace a \rbrace L ( R ) = { a }
graph LR
id1(( )) --a--> id2((接受));
R = ε R = \varepsilon R = ε ,那么L ( R ) = { ε } L(R) = \lbrace \varepsilon \rbrace L ( R ) = { ε }
graph LR
id1((接受));
R = ∅ R = \varnothing R = ∅ ,那么L ( R ) = { ∅ } L(R) = \lbrace \varnothing \rbrace L ( R ) = { ∅ }
graph LR
id1((接受));
R = R 1 ∪ R 2 R = R_1 \cup R_2 R = R 1 ∪ R 2
R = R 1 ∘ R 2 R = R_1 \circ R_2 R = R 1 ∘ R 2
R = R 1 ∗ R = R_1^* R = R 1 ∗
证明:
广义非确定型有穷自动机 :记作GNFA,即非确定型有穷自动机,但是转移箭头上可以使用任何正则表达式
起始状态有射到其他每一个状态的箭头,但是没有从任何其他状态射入的箭头
有唯一 的一个接受状态,并且它有从其他每一个状态射入的箭头,但是没有射到任何其他状态的箭头
接受状态与起始状态不同
初起始状态和接收状态之外,每一个状态到自身和其他每一个状态都有一个箭头
为了把DFA转化为GNFA,添加一个新的起始状态和一个新的接受状态
graph LR
3状态DFA --> 5状态GNFA;
5状态GNFA --> 4状态GNFA;
4状态GNFA --> 3状态GNFA;
3状态GNFA --> 2状态GNFA;
2状态GNFA --> 正则表达式;
当状态数k > 2 k>2 k > 2 时,构造等价的少一个状态的GNFA
挑选一个状态(非起始和接受),把它(q r i p q_{rip} q r i p )从机器上删掉
修改留下来的部分使其仍然识别相同的语言
graph LR
id1((q_i)) --R4--> id2((q_j));
id1((q_i)) --R1--> id3((q_rip));
id3((q_rip)) --R3--> id2((q_j));
id3((q_rip)) --R2-->id3((q_rip));
可以转化为
q i → ( R 1 ) ( R 2 ) ∗ ( R 3 ) ∪ ( R 4 ) q j q_i \xrightarrow[(R_1)(R_2)*(R_3)\cup(R_4)]{} q_j
q i ( R 1 ) ( R 2 ) ∗ ( R 3 ) ∪ ( R 4 ) q j
广义非确定型有穷自动机
( Q , Σ , δ , q s t a r t , q a c c e p t ) (Q, \Sigma, \delta, q_{start}, q_{accept}) ( Q , Σ , δ , q s t a r t , q a c c e p t ) 是一个5元组,其中
Q Q Q 是一个有穷集合
Σ \Sigma Σ 是输入字母表
δ \delta δ :( Q − { q a c c e p t } ) × ( Q − { q s t a r t } ) → R (Q - \lbrace q_{accept} \rbrace) \times (Q - \lbrace q_{start} \rbrace) \rightarrow R ( Q − { q a c c e p t } ) × ( Q − { q s t a r t } ) → R 是转移函数
q s t a r t q_{start} q s t a r t 是起始状态
q a c c e p t q_{accept} q a c c e p t 是接受状态
如果字符串w w w 可以写成w = w 1 w 2 w 3 ⋯ w k , w i ∈ Σ ∗ w = w_1w_2w_3\cdots w_k, w_i \in \Sigma^* w = w 1 w 2 w 3 ⋯ w k , w i ∈ Σ ∗ ,且存在状态序列q 0 , q 1 , ⋯ , q k q_0,q_1,\cdots,q_k q 0 , q 1 , ⋯ , q k ,使得
q 0 = q s t a r t q_0 = q_{start} q 0 = q s t a r t 是起始状态
q k = q a c c e p t q_k = q_{accept} q k = q a c c e p t 是接受状态
∀ i , w i ∈ L ( R i ) \forall i, w_i \in L(R_i) ∀ i , w i ∈ L ( R i ) ,其中R i = δ ( q i − 1 , q i ) R_i = \delta(q_{i-1}, q_i) R i = δ ( q i − 1 , q i ) ,换句话说,R R R 是从q i − 1 q_{i-1} q i − 1 到q i q_i q i 的箭头上的表达式
则称这台GNFA接受字符串w w w
DFA转换GNFA算法
则G N F A → GNFA \rightarrow G N F A → 正则表达式,这个递归算法 CONVERT(G)可以表示为
设k k k 是G G G 的状态数
如果k = 2 k = 2 k = 2 ,则G G G 一定是由一个起始状态 ,一个接受状态 及连接这两个状态的箭头组成,返回这个箭头上的表达式
否则添加一个新的起始状态和接受状态
如果k > 2 k > 2 k > 2 ,则任取一个状态q r i p ∈ Q − { q s t a r t , q a c c e p t } q_{rip} \in Q - \lbrace q_{start}, q_{accept} \rbrace q r i p ∈ Q − { q s t a r t , q a c c e p t }
G ′ G' G ′ :G N F A ( Q ′ , Σ , δ ′ , q s t a r t , q a c c e p t ) GNFA(Q', \Sigma, \delta', q_{start}, q_{accept}) G N F A ( Q ′ , Σ , δ ′ , q s t a r t , q a c c e p t )
Q ′ = Q − { q r i p } Q' = Q - \lbrace q_{rip} \rbrace Q ′ = Q − { q r i p }
且对每一个q i ∈ Q ′ − { q a c c e p t } q_i \in Q' -\lbrace q_{accept} \rbrace q i ∈ Q ′ − { q a c c e p t } 和每一个q j ∈ Q ′ − { q a c c e p t } q_j \in Q' -\lbrace q_{accept} \rbrace q j ∈ Q ′ − { q a c c e p t } ,令
δ ′ ( q i , q j ) = ( R 1 ) ( R 2 ) ∗ ( R 3 ) ∪ ( R 4 ) \delta'(q_i, q_j) = (R_1)(R_2)*(R_3)\cup (R_4)
δ ′ ( q i , q j ) = ( R 1 ) ( R 2 ) ∗ ( R 3 ) ∪ ( R 4 )
其中
R 1 = δ ( q i , q r i p ) R_1 = \delta(q_i, q_{rip}) R 1 = δ ( q i , q r i p )
R 2 = δ ( q r i p , q r i p ) R_2 = \delta(q_{rip}, q_{rip}) R 2 = δ ( q r i p , q r i p )
R 3 = δ ( q r i p , q j ) R_3 = \delta(q_{rip}, q_j) R 3 = δ ( q r i p , q j )
R 4 = δ ( q i , q j ) R_4 = \delta(q_i, q_j) R 4 = δ ( q i , q j )
计算C O N V E R T ( G ′ ) CONVERT(G') C O N V E R T ( G ′ ) ,并且返回这个值
非正则语言
泵引理
语言种的所有字符串只要它的长度不小于某一个特定的值 - 泵长度 ,就可以被抽取
意思是:每一个这样的字符串都包括一段字串,把这段字串重复任意次,得到的字符串仍在这个语言种
设A A A 是一个正则语言,则存在一个数p p p (泵长度)使得,如果s s s 是A A A 中任一长度不小于p的字符串,那么s s s 可以被分为3 3 3 段,s = x y z s = xyz s = x y z ,且满足下述条件
对每一个i ≥ 0 , x y i z ∈ A i \geq 0, xy^iz \in A i ≥ 0 , x y i z ∈ A
∣ y ∣ > 0 |y| > 0 ∣ y ∣ > 0 即y ≠ ε y \neq \varepsilon y = ε
∣ x y ∣ ≤ q |xy| \leq q ∣ x y ∣ ≤ q (x x x 和y y y 两段在一起的长度不超过p p p )
∣ s ∣ |s| ∣ s ∣ 表示字符串的长度,y i y^i y i 是i i i 个y y y 连接在一起,y 0 y^0 y 0 等于ε \varepsilon ε ,当s s s 被划分为x y z xyz x y z 时,z , x z,x z , x 可以是ε \varepsilon ε
上下文无关语言
这是一种能力更强的描述语言的方法,这种文法能够描述某些具有递归结构的特征
上下文无关语法
A → 0 A 1 A → B B → # \begin{aligned}
A \rightarrow 0A1
\\
A \rightarrow B
\\
B \rightarrow \#
\end{aligned}
A → 0 A 1 A → B B → #
一个文法由一组替换规则 组成
替换规则也叫做产生式
每一个规则占一行
由一个符号 和一个字符串 构成
符号和字符串之间用一个箭头隔开:符号 → 字符串 \text{符号} \rightarrow \text{字符串} 符号 → 字符串
变元 :即符号,常用大学字母表示
字符串 :由变元和终结符 组成
起始变元 :通常出现在第一条规则的左边
如果用语法生成每一个字符串
写下起始变元,一般来说是第一条规则左边的变元
去一个写下的变元,找到以该变元开始的规则,把这个变元替换成这条规则右边的字符串
重复上步骤,直到没有变元
A ⇒ 0 A 1 ⇒ 00 A 11 ⇒ 000 A 111 ⇒ 000 B 111 ⇒ 000 # 111 A \Rightarrow 0A1 \Rightarrow 00A11 \Rightarrow 000A111 \Rightarrow 000B111 \Rightarrow 000\#111
A ⇒ 0 A 1 ⇒ 0 0 A 1 1 ⇒ 0 0 0 A 1 1 1 ⇒ 0 0 0 B 1 1 1 ⇒ 0 0 0 # 1 1 1
上下文无关语言 :能够用上下文无关文法生成的语言(CFL),用L ( G 1 ) L(G_1) L ( G 1 ) 表示文法G 1 G_1 G 1 的语言
对几个左边变元相同的规则采用缩写的形式,比如
{ A → 0 A 1 A → B ⇒ A → 0 A 1 ∣ B \begin{cases}
A \rightarrow 0A1
\\
A \rightarrow B
\end{cases} \Rightarrow A \rightarrow 0A1|B
{ A → 0 A 1 A → B ⇒ A → 0 A 1 ∣ B
上下文无关文法的形式定义
上下文无关文法是一个4元组( V , Σ , R , S ) (V, \Sigma, R, S) ( V , Σ , R , S ) ,这里
V V V :一个有穷集合,称作变元集
Σ \Sigma Σ :一个与V V V 不相交的有穷集合,称作终结符集
R R R :一个有穷的规则集 ,每一条规则是一个变元 和一个由变元和终结符 组成的字符串
S ∈ V S \in V S ∈ V :起始变元
A → w A \rightarrow w A → w 是文法的一条规则,称u A v uAv u A v 生成 u w v uwv u w v ,记作u A v ⇒ u w v uAv \Rightarrow uwv u A v ⇒ u w v
如果u = v u = v u = v ,或者存在序列u 1 , u 2 , ⋯ , u k u_1, u_2, \cdots, u_k u 1 , u 2 , ⋯ , u k ,使得
u ⇒ u 1 ⇒ u 2 ⇒ ⋯ ⇒ u k ⇒ v u \Rightarrow u_1 \Rightarrow u_2 \Rightarrow \cdots \Rightarrow u_k \Rightarrow v
u ⇒ u 1 ⇒ u 2 ⇒ ⋯ ⇒ u k ⇒ v
其中k ≥ 0 k \geq 0 k ≥ 0 ,则记作u ⇒ ∗ v u \overset{*}{\Rightarrow} v u ⇒ ∗ v ,该文法的语言是{ w ∈ Σ ∗ ∣ S ⇒ ∗ w } \lbrace w \in \Sigma^* | S \overset{*}{\Rightarrow} w \rbrace { w ∈ Σ ∗ ∣ S ⇒ ∗ w }
设计上下文无关文法
许多CFG是由几个较简单的CFG合并成的
CFG是由几个较简单的部分,可以把它拆分成几部分,再分别构成每一部分
只需要把他们的规则都放在一起,再加入新的规则S → S 1 ∣ S 2 ∣ ⋯ ∣ S k S \rightarrow S_1 | S_2 | \cdots | S_k S → S 1 ∣ S 2 ∣ ⋯ ∣ S k ,其中S i S_i S i 是起始变元
例如:{ 0 n 1 n ∣ b ≥ 0 } ∪ { 1 n 0 n ∣ n ≥ 0 } \lbrace 0^n1^n | b \geq 0 \rbrace \cup \lbrace 1^n0^n | n \geq 0 \rbrace { 0 n 1 n ∣ b ≥ 0 } ∪ { 1 n 0 n ∣ n ≥ 0 }
S → S 1 ∣ S 2 S 1 → 0 S 1 1 ∣ ε S 2 → 1 S 2 0 ∣ ε \begin{aligned}
S &\rightarrow S_1|S_2
\\
S_1 &\rightarrow 0S_11|\varepsilon
\\
S_2 &\rightarrow 1S_20|\varepsilon
\end{aligned}
S S 1 S 2 → S 1 ∣ S 2 → 0 S 1 1 ∣ ε → 1 S 2 0 ∣ ε
如果这个语言是正则的
先构造DFA,再构造CFG
对于DFA的每一个状态q i q_i q i ,设一个变元R i R_i R i
如果δ ( q i , a ) = q j \delta(q_i, a) = q_j δ ( q i , a ) = q j 是DFA中的一个转移,则把规则R i → a R j R_i \rightarrow aR_j R i → a R j 加入CFG
如果q i q_i q i 是DFA的接收状态,则把规则R i → ε R_i \rightarrow \varepsilon R i → ε 加入CFG
设q 0 q_0 q 0 是DFA的起始状态,则取R 0 R_0 R 0 作为CFG的起始变元。
歧义性
有时候一个文法能够用几种不同的方式产生同一个字符串,这样的结构可能是某些情况下不希望看到的,例如:程序设计语言希望给定程序应该有唯一的解释
如果字符串w w w 在上下文无关文法G G G 中有两个或两个以上不同的最左派生,则称在G G G 中歧义地 生产字符串w w w ,如果一个文法G G G 歧义地产生某一个字符串,则称这个文法是歧义的
某些时候能够找到一个产生相同语言的非歧义文法
某些只能使用歧义文法产生,称作固有歧义
乔姆斯基范式
最简单,最有用的形式叫做乔姆斯基范式
一个上下文无关语法为乔姆斯基范式 ,如果它的每一个规则具有如下形式:
A → B C A → a \begin{aligned}
A &\rightarrow BC
\\
A &\rightarrow a
\end{aligned}
A A → B C → a
a a a :任意的终结符
A , B , C A,B,C A , B , C :任意的变元,但是B , C B,C B , C 不能是起始变元
允许规则S → ε S \rightarrow \varepsilon S → ε ,其中S S S 是起始变元
任一上下文无关语言都可以用乔姆斯基范式的上下文无关文法产生
转换乔姆斯基范式算法
添加一个新的起始变元S 0 S_0 S 0 和规则S 0 → S S_0 \rightarrow S S 0 → S ,S S S 是原来的起始变元
考虑所有的ε \varepsilon ε 的规则
删除一条ε \varepsilon ε 规则A → ε A \rightarrow \varepsilon A → ε ,A A A 不是起始变元
然后对规则右边出现的每一个A A A ,删除这个A然后得到一条新规则(原规则不删去)
R → u A R \rightarrow uA R → u A ,则添加规则R → u R \rightarrow u R → u
R → A v R \rightarrow Av R → A v ,则添加规则R → v R \rightarrow v R → v
R → u A v R \rightarrow uAv R → u A v ,则添加规则R → u v R \rightarrow uv R → u v
R → u A v A w R \rightarrow uAvAw R → u A v A w ,则添加规则R → u v A w R \rightarrow uvAw R → u v A w ,R → u A v w R \rightarrow uAvw R → u A v w ,R → u v w R \rightarrow uvw R → u v w
如果有规则R → A R \rightarrow A R → A ,则添加R → ε R \rightarrow \varepsilon R → ε
除非前面已经删除过规则R → ε R \rightarrow \varepsilon R → ε
即使这个R R R 是起始变元,也照样添加S 0 → ε S_0 \rightarrow \varepsilon S 0 → ε
重复进行上述步骤,直到删除所有不包括起始变元的ε \varepsilon ε 规则
处理所有单一规则
删除一条单一规则A → B A \rightarrow B A → B ,A A A 可以是起始变元
然后对规则左边出现的每一个B B B
只要有一条规则B → u B \rightarrow u B → u ,就要添加规则A → u A \rightarrow u A → u ,且不删除B → u B \rightarrow u B → u
除非A → u A \rightarrow u A → u 是在前面被删除的单一规则
u u u 是变元和终结符的字符串
重复进行上述步骤,直到删除所有单一规则
把所有留下的规则转换成适当的形式
对每一个长度k ≥ 3 k \geq 3 k ≥ 3 的字符串u 1 u 2 ⋯ u k u_1u_2\cdots u_k u 1 u 2 ⋯ u k ,进行以下操作
把每一条规则A → u 1 u 2 ⋯ u k A \rightarrow u_1u_2\cdots u_k A → u 1 u 2 ⋯ u k 替换成规则A → u 1 A 1 , A 1 → u 2 A 2 , A 2 → u 3 A 3 , ⋯ , A k − 2 → u k − 1 u k A \rightarrow u_1A_1,\ A_1 \rightarrow u_2A_2,\ A_2 \rightarrow u_3A_3,\ \cdots, A_{k-2} \rightarrow u_{k-1}u_k A → u 1 A 1 , A 1 → u 2 A 2 , A 2 → u 3 A 3 , ⋯ , A k − 2 → u k − 1 u k
例如:S 0 → A S A S_0 \rightarrow ASA S 0 → A S A ,变为S 0 → A A 1 S_0 \rightarrow AA_1 S 0 → A A 1 和A 1 → S A A_1 \rightarrow SA A 1 → S A
每一个u i u_i u i 是一个变元或终结符,A i A_i A i 是新的变元
重复上步骤,直到没有长度k ≥ 3 k \geq 3 k ≥ 3 的字符串
至此,所有规则只能是以下几种形式
S 0 → ε S_0 \rightarrow \varepsilon S 0 → ε
A → a i A \rightarrow a_i A → a i
A → B C A \rightarrow BC A → B C
A → a i B A \rightarrow a_iB A → a i B
A → B a i A \rightarrow Ba_i A → B a i
A → a i a j A \rightarrow a_ia_j A → a i a j
其中a i , a j a_i,a_j a i , a j 是终结符,A , B , C A, B, C A , B , C 是变元,S 0 S_0 S 0 是开始阶段引入的新起始变元
为了把后三种转换成符合要求的规则
对每一个终结符a i a_i a i 引入一个新变元U i U_i U i 和规则U i → a i U_i \rightarrow a_i U i → a i
如果a i a_i a i 不出现在规则的右边,则不需要引入
把后3种规则分别替换成
A → a i B A → B a i A → a i a j ⇒ A → U i B A → B U i A → U i U j \begin{aligned}
A &\rightarrow a_iB
\\
A &\rightarrow Ba_i
\\
A &\rightarrow a_ia_j
\end{aligned} \Rightarrow \begin{aligned}
A &\rightarrow U_iB
\\
A &\rightarrow BU_i
\\
A &\rightarrow U_iU_j
\end{aligned}
A A A → a i B → B a i → a i a j ⇒ A A A → U i B → B U i → U i U j
至此,所有的式子都应该只是以下形式
S 0 → ε A → a i A → B C \begin{aligned}
S_0 &\rightarrow \varepsilon
\\
A &\rightarrow a_i
\\
A &\rightarrow BC
\end{aligned}
S 0 A A → ε → a i → B C
下推自动机
这种机器(PDA)非常像非确定型有穷自动机,但是有栈 ,使之能够识别一些非正则语言
下推自动机在能力上与上下文无关文法等价
下推自动机能够把符合写到栈上,然后再读取它
写一个符合,把栈种其他的所有符合"下推 "
在任何时候,可以读和删去栈顶的符号,其余符号向上移动
在栈上写一个符号,叫做"推入 "这个符号
删去一个符号叫做弹出 它
无论是读,写,都只能在栈顶进行,遵循”先进后出 “
下推自动机的形式定义
下推自动机(PDA)是一个6元组( Q , Σ , Γ , δ , q 0 , F ) (Q, \Sigma, \Gamma, \delta, q_0, F) ( Q , Σ , Γ , δ , q 0 , F ) ,这里Q Q Q ,Σ \Sigma Σ ,Γ \Gamma Γ 和F F F 都是有穷集合
Q Q Q :状态集
Σ \Sigma Σ :输入字母表
Γ \Gamma Γ :栈字母表
δ \delta δ :Q × Σ ε × Γ ε → P ( Q × Γ ε ) Q \times \Sigma_\varepsilon \times \Gamma_\varepsilon \rightarrow \mathcal{P}(Q \times \Gamma_\varepsilon) Q × Σ ε × Γ ε → P ( Q × Γ ε )
q 0 ∈ Q q_0 \in Q q 0 ∈ Q :起始状态
F ⊂ Q F \subset Q F ⊂ Q :接受状态集
一台下推自动机M = ( Q , Σ , Γ , δ , q 0 , F ) M=(Q, \Sigma, \Gamma, \delta, q_0, F) M = ( Q , Σ , Γ , δ , q 0 , F ) 的计算如下
接受输入w w w
如果能够把w w w 写成w = w 1 , w 2 , ⋯ , w m , ( w i ∈ Σ ε ) w=w_1, w_2, \cdots, w_m,(w_i \in \Sigma_\varepsilon) w = w 1 , w 2 , ⋯ , w m , ( w i ∈ Σ ε )
并且存在状态序列r 0 , r 1 , ⋯ , r m ∈ Q r_0, r_1, \cdots, r_m \in Q r 0 , r 1 , ⋯ , r m ∈ Q 和字符串序列s 0 , s 1 , ⋯ , s m ∈ Δ ∗ s_0, s_1, \cdots, s_m \in \Delta^* s 0 , s 1 , ⋯ , s m ∈ Δ ∗ 满足下述3个条件,则字符串s 0 , s 1 , ⋯ , s m s_0, s_1, \cdots, s_m s 0 , s 1 , ⋯ , s m 是M M M 在计算的接受分支中的栈内容序列
r 0 = q 0 r_0 = q_0 r 0 = q 0 且s 0 = ε s_0 = \varepsilon s 0 = ε ,表示M M M 从起始状态和空栈开始
对于i = 0 , ⋯ , m − 1 , ( r i + 1 , b ) ∈ δ ( r i , w i + 1 , a ) i = 0, \cdots, m - 1, (r_{i+1}, b) \in \delta(r_i, w_{i+1}, a) i = 0 , ⋯ , m − 1 , ( r i + 1 , b ) ∈ δ ( r i , w i + 1 , a ) ,其中s i = a t , s i + 1 = b t , ( a , b ∈ Σ ε ) s_i = at, s_{i+ 1}= bt, (a, b \in \Sigma_\varepsilon) s i = a t , s i + 1 = b t , ( a , b ∈ Σ ε ) 和t ∈ Σ ∗ t \in \Sigma^* t ∈ Σ ∗ ,该条表示M M M 在每一步都完全按照当时的状态,栈顶符号和下一个输入符号动作
r m ∈ F r_m \in F r m ∈ F ,该条说明在输入结束时出现一个接受状态
下推自动机运作
用a , b → c a, b \rightarrow c a , b → c 表示当机器从输入中读到a a a 时可以用c c c 替换栈顶的符号b b b
a , b , c a, b, c a , b , c 中任何一个都可以是ε \varepsilon ε
如果a a a 是ε \varepsilon ε ,则机器做这个转移,而不读输入中的任何符号
如果b b b 是ε \varepsilon ε ,则机器做这个转移,而不读栈中的任何符号
如果c c c 是ε \varepsilon ε ,则机器做这个转移,而不在栈中写任何符号
检测空栈的方法:
PDA的形式定义没有提供检验空栈的直接手段,但是如果在PDA一开始把一个特殊符号放入栈中,每当机器看见@时,就知道栈实际上是空了
q 1 → ε , ε → $ q 2 \color{blue}q_1\color{black} \xrightarrow{\varepsilon, \varepsilon \rightarrow \$} q_2
q 1 ε , ε → $ q 2
检测输入达到末端:
PDA不能直接检测到达输入的末端,但是可以使PDA当只有它位于输入的末端时,接受状态才起作用,这样就可以实现同样的效果。
q 1 → ε , $ → ε q 2 q_1 \xrightarrow{\varepsilon, \$ \rightarrow \varepsilon} \color{green}q_2
q 1 ε , $ → ε q 2
c , ε → c c, \varepsilon \rightarrow c c , ε → c :读取到c c c ,则在栈中写入c c c
c , c → ε c, c \rightarrow \varepsilon c , c → ε :读取到c c c ,则在栈中弹出c c c
a , b → c a,b \rightarrow c a , b → c 能被执行的条件为:当读取到a a a ,且栈顶是b b b 的时候才能执行
下推自动机与上下文无关文法的等价性
它们都能够描述上下文无关语言类
定理:一个语言是上下文无关的,当且仅当存在一台下推自动机识别他
引理:一个语言是上下文无关的,则存在一台下推自动机识别他
上下文无关文法转下推自动机
设A A A 是上下文无关语言,则存在一个上下文无关文法G G G 产生它,我们需要把G G G 转换为等价的PDA,称为P P P
设上下文无关文法CFG为G = ( V , Σ , R , S ) G=(V, \Sigma, R, S) G = ( V , Σ , R , S ) ,下推自动机P = ( Q , Σ , Γ , δ , q s t a r t , F ) P=(Q, \Sigma, \Gamma, \delta, q_{start}, F) P = ( Q , Σ , Γ , δ , q s t a r t , F ) ,其中
输入字母表Σ \Sigma Σ 就是G G G 的终结字符
栈字母表Γ \Gamma Γ 等于G G G 的变元集V V V
设q q q 和r r r 是P P P 的状态,a a a 属于Σ ε \Sigma_\varepsilon Σ ε ,b b b 属于Γ ε \Gamma_\varepsilon Γ ε ,我们要求P P P ,当它读a a a 并且弹出b b b 时,状态转移从q q q 到r r r ,并且同时把整个字符串u = u 1 , u 2 , ⋯ , u l u = u_1, u_2, \cdots, u_l u = u 1 , u 2 , ⋯ , u l 推入栈,为了完成这个动作,我们引入新的状态q 1 , q 2 , ⋯ , q l − 1 q_1, q_2, \cdots, q_{l - 1} q 1 , q 2 , ⋯ , q l − 1 ,并且令转移函数
δ ( q , a , s ) 包含 ( q 1 , u 1 ) δ ( q 1 , ε , ε ) = { ( q 2 , u l − 1 ) } δ ( q 2 , ε , ε ) = { ( q 3 , u l − 2 ) } ⋮ δ ( q l − 1 , ε , ε ) = { ( r , u 1 ) } \begin{aligned}
\delta(q, a, s)&\text{包含}(q_1 ,u_1)
\\
\delta(q_1, \varepsilon, \varepsilon) &= \lbrace (q_2, u_{l - 1}) \rbrace
\\
\delta(q_2, \varepsilon, \varepsilon) &= \lbrace (q_3, u_{l - 2}) \rbrace
\\
&\vdots
\\
\delta(q_{l - 1}, \varepsilon, \varepsilon) &= \lbrace (r, u_1) \rbrace
\end{aligned}
δ ( q , a , s ) δ ( q 1 , ε , ε ) δ ( q 2 , ε , ε ) δ ( q l − 1 , ε , ε ) 包含 ( q 1 , u 1 ) = { ( q 2 , u l − 1 ) } = { ( q 3 , u l − 2 ) } ⋮ = { ( r , u 1 ) }
使用记号( r , u ) ∈ δ ( q , a , s ) (r, u) \in \delta(q, a, s) ( r , u ) ∈ δ ( q , a , s ) 表示当q q q 是状态,a a a 是下一个输入符号以及s s s 是栈顶符号时,PDA P P P 能够读a a a 和弹出s s s ,然后把字符串u u u 推入栈和转移到状态r r r
q ↓ a , s → x y z r ⇒ q ↓ a , s → z q 1 ↓ ε , ε → y q 2 ↓ ε , ε → x r \begin{aligned}
\begin{aligned}
&q&
\\
&\downarrow& a,s\rightarrow xyz
\\
&r&
\end{aligned} \quad \Rightarrow \quad
\begin{aligned}
&q&
\\
&\downarrow& a,s\rightarrow z
\\
&q_1&
\\
&\downarrow& \varepsilon,\varepsilon\rightarrow y
\\
&q_2&
\\
&\downarrow& \varepsilon,\varepsilon\rightarrow x
\\
&r&
\end{aligned}
\end{aligned}
q ↓ r a , s → x y z ⇒ q ↓ q 1 ↓ q 2 ↓ r a , s → z ε , ε → y ε , ε → x
P P P 的状态集Q = { q s t a r t , q l o o p , q a c c e p t } ∪ E Q = \lbrace q_{start}, q_{loop}, q_{accept} \rbrace \cup E Q = { q s t a r t , q l o o p , q a c c e p t } ∪ E ,这里E E E 是实现刚才描述的缩写所需要的状态集合,只有一个接收状态q a c c e p t q_{accept} q a c c e p t
庄毅函数定义如下,从初始化开始,把符号@和S S S 推入栈,实现步骤1的形式描述是:δ ( q s t a r t , ε , ε ) = { ( q l o o p , S @ ) } \delta(q_{start, \varepsilon, \varepsilon}) = \lbrace (q_{loop}, S@) \rbrace δ ( q s t a r t , ε , ε ) = { ( q l o o p , S @ ) } 。然后进行步骤2主循环中的转移
首先处理情况( a ) (a) ( a ) ,这时栈顶是一个变元,令δ ( q l o o p , ε , A ) = { ( q l o o p , w ) } A → w \delta(q_{loop}, \varepsilon, A) = \lbrace (q_{loop}, w) \rbrace A \rightarrow w δ ( q l o o p , ε , A ) = { ( q l o o p , w ) } A → w 是R R R 中的一条规则
其次处理情况( b ) (b) ( b ) ,这时栈顶是一个终结符,令δ ( q l o o p , a , a ) = { ( q l o o p , ε ) } \delta(q_{loop}, a, a) = \lbrace (q_{loop}, \varepsilon) \rbrace δ ( q l o o p , a , a ) = { ( q l o o p , ε ) }
最后处理情况( c ) (c) ( c ) ,这时栈顶是空栈标记符@,令δ ( q l o o p , ε , @ ) = { ( q a c c e p t , ε ) } \delta(q_{loop}, \varepsilon, @) = \lbrace (q_{accept}, \varepsilon) \rbrace δ ( q l o o p , ε , @ ) = { ( q a c c e p t , ε ) }
→ q s t a r t ↓ ε , ε → S @ q l o o p ⇌ { ε , A → w a , a → ε ↓ ε , @ → ε q a c c e p t \begin{aligned}
\rightarrow &q_{start}
\\
&\downarrow \varepsilon, \varepsilon \rightarrow S@
\\
&q_{loop} \rightleftharpoons \begin{cases}
\varepsilon, A \rightarrow w
\\
a, a \rightarrow \varepsilon
\end{cases}
\\
&\downarrow \varepsilon, @ \rightarrow \varepsilon
\\
&q_{accept}
\end{aligned}
→ q s t a r t ↓ ε , ε → S @ q l o o p ⇌ { ε , A → w a , a → ε ↓ ε , @ → ε q a c c e p t
上下文无关文法转下推自动机例子
例子:
S → a T b ∣ b T → T a ∣ ε \begin{aligned}
S &\rightarrow aTb|b
\\
T &\rightarrow Ta|\varepsilon
\end{aligned}
S T → a T b ∣ b → T a ∣ ε
下推自动机转上下文无关文法
引理:一个语言被一台下推自动机识别,则它是上下文无关的
设PAD P P P 是一个下推自动机,要构造一个上下文无关文法G G G ,它产生P P P 接受的所有字符串
我们设计一个能够做更多事情的文法,对于P P P 的每一对状态p p p 和q q q ,文法有一个变元A p q A_{pq} A p q ,它产生所有能够把P P P 从p p p 和空栈一块带到q q q 和空栈的字符串,可以看出不管栈的内容是什么,这样的字符串也能够把P P P 从p p p 带到q q q ,并且保持栈的内容在状态q q q 和在状态p p p 时一样
先对P P P 进行一下修改,使得它有下面3个特点
有位移的接收状态q a c c e p t q_{accept} q a c c e p t
在接受之间排空栈
每一个转移把一个符号推入栈(推入动作),或者把一个符合弹出栈(弹出动作),但是不能同时做这两个动作
对于特点3,要把每一个同时弹出和推入的转移替换成两个转移,中间要经过一个新的状态,把每一个既不弹出也不推入的转移替换成两个转移,先推入任意一个栈符号,然后再把它弹出。
对于任意一个空栈开始和结束的所有字符串,P P P 的每一个动作已经是推入或者时弹出但是对空栈不能弹出,所以P P P 对x x x 的第一个动作一定是推入,同理在结束时,对x x x 的最后一个动作一定是弹出。
P P P 对x x x 的计算过程可能出现两种情况
仅在计算的开始和结束时,栈是空的
最后弹出的符号一定就是开始时推入的那个符号:A p q → a A r s b A_{pq} \rightarrow aA_{rs}b A p q → a A r s b
a a a :做第一个动作时读的输入符号
b b b :做最后一个动作时读的输入符号
r r r 是跟在p p p 后面的状态
s s s 是q q q 前的一个状态
除开始和结束时之外,在计算中的某个地方,栈变成空的
A p q → A p r A r q A_{pq} \rightarrow A_{pr}A_{rq} A p q → A p r A r q
r r r :是栈在计算中间变成空的时候的状态
关于G G G 的规则,设P = ( Q , Σ , Γ , δ , q 0 , { q a c c e p t } ) P=(Q, \Sigma, \Gamma, \delta, q_0, \lbrace q_{accept} \rbrace) P = ( Q , Σ , Γ , δ , q 0 , { q a c c e p t } ) ,G G G 的变元集是{ A p q ∣ p , q ∈ Q } \lbrace A_{pq} | p,q \in Q \rbrace { A p q ∣ p , q ∈ Q } ,其实变元是A q 0 q a c c e p t A_{q_0q_{accept}} A q 0 q a c c e p t
对每一个p , q , r , s ∈ Q , t ∈ Γ p, q, r, s \in Q, t \in \Gamma p , q , r , s ∈ Q , t ∈ Γ 和a , b ∈ Σ ε a, b \in \Sigma_\varepsilon a , b ∈ Σ ε ,如果δ ( p , a , ε ) \delta(p, a, \varepsilon) δ ( p , a , ε ) 包含( r , t ) (r, t) ( r , t ) 且δ ( s , b , t ) \delta(s, b, t) δ ( s , b , t ) 包含( q , ε ) (q, \varepsilon) ( q , ε ) ,则把规则A p q → a A r s b A_{pq} \rightarrow aA_{rs}b A p q → a A r s b 放入G G G 中
对每一个p , q , r ∈ Q p,q,r \in Q p , q , r ∈ Q ,把规则A p q → A p r A r q A_{pq} \rightarrow A_{pr}A_{rq} A p q → A p r A r q 放入G G G 中
最后,对每一个p ∈ Q p \in Q p ∈ Q ,把规则A p p → ε A_{pp} \rightarrow \varepsilon A p p → ε 放入G G G 中
对于规则A p q → A p r A r q A_{pq} \rightarrow A_{pr}A_{rq} A p q → A p r A r q 的PDA计算
对于规则A p q → a A r s b A_{pq} \rightarrow aA_{rs}b A p q → a A r s b 的PDA计算
下面证明A p q A_{pq} A p q 产生x x x ,当且仅当x x x 能够把P P P 从状态p p p 和空栈一块带到状态q q q 和空栈,从而证明上述构造是正确的,把当且仅当中的每一方向作为一个单独的断言
断言:如果A p q A_{pq} A p q 产生x x x ,则x x x 能够把P P P 从p p p 和空栈一块带到q q q 和空栈
断言:如果x x x 能够把P P P 从p p p 和空栈带到q q q 和空栈,则A p q A_{pq} A p q 产生x x x
使用归纳法可以证明上述断言
非上下文无关语言
如果A A A 是上下文无关语言,则存在数p p p (泵长度),使得A A A 中任何一个长度不小于p p p 的字符串s s s 能够划分为5 5 5 段,s = u v x y z s = uvxyz s = u v x y z ,满足下述条件
对于每一个i i i ,u v i x y i z ∈ A uv^ixy^iz \in A u v i x y i z ∈ A
∣ v y ∣ > 0 |vy| > 0 ∣ v y ∣ > 0
∣ v x y ∣ ≤ p |vxy| \leq p ∣ v x y ∣ ≤ p
当s s s 倍划分为u v x y z uvxyz u v x y z 时
条件2 2 2 :称v v v 或y y y 不是空串,否则定理自动成立
条件3 3 3 :称v v v ,x x x 和y y y 三段在一起的长度不超过p p p
丘奇-图灵论题
图灵机
图灵机模型
储存设备:用一个无限长的带子作为无限储存,还有一个读写头,这个读写头只能在带子上读,写和移动
开始:带子上只有输入字符串,其他地方都是空的。
储存:如果需要储存信息,它可能将这个信息写在带子上
读取:为了读取已经写下的信息,它可能将读写头往回移动到这个信息所在的地方
结束:机器不停地计算直到产生输出为止
机器事先就被设置了两种状态
接受状态和拒绝状态,如果进入这两种状态,就产生输出接受或拒绝,
如果不进入任何接受状态或拒绝状态,就继续执行下去,永不停止
有穷自动机和图灵机的区别
图灵机在带子上既能写也能读
读写头既能向左移也能向右移
带子时无限长的
进入拒绝和接收状态将立刻停机
图灵机的形式定义
核心时转移函数δ \delta δ :Q × Γ → Q × Γ × { L , R } Q \times \Gamma \rightarrow Q \times \Gamma \times \lbrace L, R \rbrace Q × Γ → Q × Γ × { L , R }
若机器处于状态q q q ,读写头所在的带方格内包含符号a a a ,则当δ ( q , a ) = ( r , b , L ) \delta(q, a) = (r, b, L) δ ( q , a ) = ( r , b , L ) 时,机器写下符号b b b 以取代a a a ,并进入状态r r r 。第三个分量时L L L 或R R R ,他指出在写带之后,读写头时向左还是向右移动
一个图灵机时一个7元组( Q , Σ , Γ , δ , q 0 , q a c c e p t , q r e j e c t ) (Q, \Sigma, \Gamma, \delta, q_0, q_{accept}, q_{reject}) ( Q , Σ , Γ , δ , q 0 , q a c c e p t , q r e j e c t ) ,其中:Q , Σ , Γ Q, \Sigma, \Gamma Q , Σ , Γ 都是有穷集合,并且
Q Q Q :状态集
Σ \Sigma Σ :输入字母表,不包括特殊空白符号⊔ \sqcup ⊔
Γ \Gamma Γ :带字母表,其中⊔ ∈ Γ , Σ ⊃ Γ \sqcup \in \Gamma, \Sigma \supset \Gamma ⊔ ∈ Γ , Σ ⊃ Γ
δ \delta δ :Q × Γ → Q × Γ × { L , R } Q \times \Gamma \rightarrow Q \times \Gamma \times \lbrace L, R \rbrace Q × Γ → Q × Γ × { L , R } 是转移函数
q 0 ∈ Q q_0 \in Q q 0 ∈ Q :起始状态
q a c c e p t ∈ Q q_{accept} \in Q q a c c e p t ∈ Q :接受状态
q r e j e c t ∈ Q q_{reject} \in Q q r e j e c t ∈ Q :拒绝状态,且q r e j e c t ≠ q a c c e p t q_{reject} \neq q_{accept} q r e j e c t = q a c c e p t
其计算方式为
开始:M M M 以最左边的n n n 个带方格接受输入w = w 1 w 2 ⋅ w n ∈ Σ ∗ w = w_1w_2\cdot w_n \in \Sigma^* w = w 1 w 2 ⋅ w n ∈ Σ ∗ ,带的其余部分是空白
读写头从最左边的带方格开始运行,Σ \Sigma Σ 不含空白符,则带上出现第一个空白符表示结束
开始运行后,计算根据转移函数所描述的规则进行
如果M M M 试图将读写头从带的左端点再向左移出,即使转移函数指示是L L L ,读写头也停在原地不动
计算已知持续到它进入接受或拒绝状态
此时停机,如果二者都不发生,则M M M 永远运行下去
图灵机的计算过程
格局 :当前状态 ,当前带内容 和读写头当前未知 会发生变化,这三项构成的整体叫做图灵机的格局
对于状态q q q 和带字母表上的两个串u u u 和v v v ,以u q v uqv u q v 表示如下格局:
当前状态是q q q
当前带内容是u v uv u v
读写头的当前未知是v v v 的第一个符号,带上v v v 的最后符号以后的符号都是空白符
1011 q 7 01111 1011q_701111
1 0 1 1 q 7 0 1 1 1 1
图灵机计算方式形式化
如果图灵机能合法地从格局C 1 C_1 C 1 一步进入C 2 C_2 C 2 ,则称格局C 1 C_1 C 1 产生 格局C 2 C_2 C 2 ,这个概念的形式定义如下:
设a , b a, b a , b 和c c c 是Γ \Gamma Γ 中符号,u u u 和v v v 是Γ ∗ \Gamma^* Γ ∗ 中字符串,q i q_i q i 和q j q_j q j 是状态,则u a q i b v uaq_ibv u a q i b v 和u q j a c v uq_jacv u q j a c v 是两个格局,如果转移函数满足δ ( q i , b ) = ( q j , c , L ) \delta(q_i, b) = (q_j, c, L) δ ( q i , b ) = ( q j , c , L ) ,则
u a q i b v 产生 u q j a c v uaq_ibv \quad \text{产生} \quad uq_jacv
u a q i b v 产生 u q j a c v
u a q i b v 产生 u a c q j v uaq_ibv \quad \text{产生} \quad uacq_jv
u a q i b v 产生 u a c q j v
左端点
如果转移为向左移动:则格局q i b v q_ibv q i b v 产生q j b v q_jbv q j b v (不准移出)
如果转移为向右移动:则格局q i b v q_ibv q i b v 产生b q j v bq_jv b q j v
右端点
b v q i bvq_i b v q i 等价b v q i ⊔ bvq_i\sqcup b v q i ⊔ ,按原来那样处理
其他情况
起始格局:q 0 w q_0w q 0 w (表示机器处于起始状态,读写头处于带最左端未知)
接受格局:状态时q a c c e p t q_{accept} q a c c e p t
拒绝格局:状态时q r e j e c t q_{reject} q r e j e c t
停机状态:接受状态和拒绝状态(不再产生新的格局)
q 1 → 0 → ⊔ , R q 2 q_1 \xrightarrow{0 \rightarrow \sqcup, R} q_2 q 1 0 → ⊔ , R q 2 :δ ( q 1 , 0 ) = ( q 2 , ⊔ , R ) \delta(q_1, 0) = (q_2, \sqcup, R) δ ( q 1 , 0 ) = ( q 2 , ⊔ , R )
当状态为q 1 q_1 q 1 且读写头读0 0 0 时
机器状态变为q 2 q_2 q 2 ,写下⊔ \sqcup ⊔
并向右移动读写头
q 1 → 0 → R q 2 q_1 \xrightarrow{0 \rightarrow R} q_2 q 1 0 → R q 2 :δ ( q 1 , 0 ) = ( q 2 , 0 , R ) \delta(q_1, 0) = (q_2, 0, R) δ ( q 1 , 0 ) = ( q 2 , 0 , R )
当状态为q 1 q_1 q 1 且读写头读0 0 0 时
机器状态变为q 2 q_2 q 2 ,不改变带子
并向右移动读写头
q 1 → 0 , 1 → R q 2 q_1 \xrightarrow{0,1 \rightarrow R} q_2 q 1 0 , 1 → R q 2
当状态为q 1 q_1 q 1 且读写头读0 0 0 或1 1 1 时
机器状态变为q 2 q_2 q 2 ,不改变带子
并向右移动读写头
图灵机能根据输入,给出输出,并且可以再进行左右移动(不能不移动)
图灵机确定左端点
在开始的时候写下⊔ \sqcup ⊔ ,当左移的时候读取到⊔ \sqcup ⊔ 时,则已到达左端点
在左移之前记录下当前带上位置的符号,并写下一个特殊符号#,当左移后,当前位置上带子的符号还是#的话,则左移失败,读写头已经在左端点
图灵机作记号
图灵机可以通过做记号达到一些需要记忆位置的操作,比如对于11111# 00000# 111111 这样字符串,可以将# 改写为♯ ˙ \dot{\sharp} ♯ ˙ ,从而达到做记号的目的
♯ → ♯ ˙ \sharp \rightarrow \dot{\sharp}
♯ → ♯ ˙
图灵机接受输入
图灵机接受输入w w w ,如果存在格局的序列C 1 , C 2 , ⋯ C k C_1, C_2, \cdots C_k C 1 , C 2 , ⋯ C k 使得
C 1 C_1 C 1 是M M M 再输入w w w 上的起始格局
每一个C i C_i C i 产生C i + 1 C_{i+1} C i + 1
C k C_k C k 是接受格局
M M M 接受的字符串的全体称为M的语言 ,即为L ( M ) L(M) L ( M )
定义:如果有一个图灵机识别一个语言,则称语言是图灵可识别
在输入上运行一个TM时,可能出现三种结果:接受,拒绝,循环(不停机)
对于一个输入,图灵机有两种方式不接受它:进入拒绝状态,进入循环
图灵可判定语言都是图灵可识别的,但某些图形可识别语言不是可判定的。
图灵机的变形
图灵机可以进行变形,如:多个带子,非确定性。这样的机器被称为图灵机模型的变形
原来的模型与它的所有合理的变形有着同样的能力
识别同样的语言类
这样变化中的不变性称为稳健性
图灵机有惊人的稳健性
假设图灵机可以在读取后不进行移动,则转移函数会有以下改变
Q × Γ → Q × Γ × { L , R } Q × Γ → Q × Γ × { L , R , S } \begin{aligned}
Q \times \Gamma &\rightarrow Q \times \Gamma \times \lbrace L, R \rbrace
\\
Q \times \Gamma &\rightarrow Q \times \Gamma \times \lbrace L, R, S \rbrace
\end{aligned}
Q × Γ Q × Γ → Q × Γ × { L , R } → Q × Γ × { L , R , S }
这个改变不会使图灵机能够识别更多的语言,为了证明两个模型时等价的,只要证明它们能互相模拟即可。
多带图灵机
Q × Γ k → Q × Γ k × { L , R } k Q \times \Gamma^k \rightarrow Q \times \Gamma^k \times \lbrace L, R \rbrace^k
Q × Γ k → Q × Γ k × { L , R } k
多带图灵机还是和图灵机等价,虽然多带图灵机有多个带子,可以在单个带子上模拟出多个带子的效果,即用#分割每个带子,且对每个分割的部分多带图灵机读写头的位置的字符加上符号c ˙ \dot{c} c ˙ ,从而达到类似多带图灵机的效果。
非确定性图灵机
定理 :每一个非确定性图灵机都有一个与之等价的确定性图灵机
可以用确定性图灵机模拟非确定性图灵机的所有可能的分支,采用广度搜索的方式,若能够在某个分支中发现接受状态,则接受,否则永不停止。
可以由三带图灵机模拟非确定性图灵机,其带子分别为
输入带:不会改变
模拟带:存放非确定性图灵机中的内容,对应其某个分支
地址带:记录确定性图灵机在非确定性图灵机中的位置
推论 :一个语言时图灵可识别的,当且仅当有非确定性图灵机识别他推论 :一个语言时图灵是可判定的,当且仅当有非确定性图灵机判定他
枚举类
有时有些地方会使用递归可枚举语言 来替代图灵可识别语言 ,这个术语起源于称为枚举器的机器,是图灵机的一种变形,简单地说,枚举器是带有打印机的图灵机,使其为一个输出设备
定理 :一个语言是图灵可识别的,当且仅当有枚举器枚举它
其他模型的等价性
考虑程序设计语言中的类似情形,现在又许多程序设计语言,但是它们都可以实现同一个算法,这意味着这两个语言描述了完全相同的算法类,即计算模型间存在着普遍的等价性。
任意两个满足合理条件的计算模型都能互相模拟,从而在能力上等价
算法的定义
算法的直觉概念 等于 图灵机算法 \boxed{\text{算法的直觉概念} \qquad \text{等于} \qquad \text{图灵机算法}}
算法的直觉概念 等于 图灵机算法
上述被称为丘奇-图灵论题 ,简单的来说,图灵机刻画了所有的算法。
任何计算装置:用算盘的人、超级计算机、你手中的 iPhone 等等,都不能超越图灵机模型的计算能力
算法的描述
形式描述:尽详细写出图灵机的状态,转移函数等, 这是最底层,最详细程度的描述
实现描述:用日常语言描述图灵机的运行,如:如何移动读写头,储存数据,没有给出转移函数等的细节
高水平描述:用日常语言进行描述,但是忽略了实现的模型,不需要提及如何移动带子或读写头
可判定性
有些问题算法上能够求解,而另一些则不能,我们需要研究算法可解性的局限。
可判定语言
一些语言,它们都是算法上可判定的。也叫递归(Recursive)语言
图灵机识别 一门语言:当图灵机接受属于这门文法的所有语言且不接受 所有不属于这门文法的语言
A TM recognizes a language L if it accepts every x ∈ L x \in L x ∈ L and does not accept any x ∉ L x \notin L x ∈ / L
A language is recognizable if there is a Turing machine that recognizes it
图灵机判定 一门语言:当图灵机接受属于这门文法的所有语言且拒绝 所有不属于这门文法的语言
A TM decides a language L if it accepts every x ∈ L x \in L x ∈ L and it rejectst every x ∉ L x \notin L x ∈ / L
A language is decidable if there is a Turing machine that decides it
定理 :一门语言L L L 是可判定的,当且仅当L L L 和L ‾ \overline{L} L 是课识别的
不可判定语言
下面以一个例子说明不可判定语言,假设存在M_1识别L,M_2识别L’,那么D是否判定L
1 2 3 def D (x ): if M_1(x) accepts: accepts if M_2(x) accepts: rejects
因为D可能在M_1(x)出循环,所以D不判定L,即M_1(x)可能不会停机
再来一个例子
设语言L = { < M > ∣ M 停机于 100010 } L = \lbrace <M> | M\ \text{停机于}\ 100010 \rbrace L = { < M > ∣ M 停机于 1 0 0 0 1 0 }
√
×
L L L 可识别?
⚪
L ‾ \overline{L} L 可识别?
⚪
因此L L L 不可判定
1 2 3 def D (D ): if D(D) accepts: rejects if D(D) rejects: accepts
以上描述的是Dumaflache
很明显矛盾
正则语言相关的可判定性问题
因为已经建立了处理语言的术语,将用语言来表示各种计算问题,例如如下的问题
DFA接受问题
检测一个特定的自动机是否接受一个事先给定的串,此类问题可表示为语言A D F A A_{DFA} A D F A ,它包含了DFA及其接受的串的编码,令
A D F A = { < B , w > ∣ B 是 D F A , w 是串 , B 接受 w } A_{DFA} = \lbrace <B, w>\ |\ B \text{是} DFA,\ w \text{是串},\ B \text{接受} w \rbrace
A D F A = { < B , w > ∣ B 是 D F A , w 是串 , B 接受 w }
问题
DFA B是否接受输入w
< B , w > <B, w> < B , w > 是否是A D F A A_{DFA} A D F A 的元素
是相同的。类似的,其他一些计算问题也可以表示成检查语言的成员隶属关系,证明这个语言是可判定的与证明这个计算问题是可判定是同一回事
定理 :A D F A A_{DFA} A D F A 是一个可判定语言
NFA接受问题
设
A N F A = { < B , w > ∣ B 是 N F A , w 是串 , B 接受 w } A_{NFA} = \lbrace <B, w>\ |\ B \text{是} NFA,\ w \text{是串},\ B \text{接受} w \rbrace
A N F A = { < B , w > ∣ B 是 N F A , w 是串 , B 接受 w }
定理 :A N F A A_{NFA} A N F A 是一个可判定语言
REX接受问题
设
A R E X = { < R , w > ∣ R 是正则表达式 , w 是串 , R 派生 w } A_{REX} = \lbrace <R, w>\ |\ R \text{是正则表达式},\ w \text{是串},\ R \text{派生} w \rbrace
A R E X = { < R , w > ∣ R 是正则表达式 , w 是串 , R 派生 w }
定理 :A R E X A_{REX} A R E X 是一个可判定语言
DFA不接受问题
图灵机有关的另一种问题:有穷自动机语言的空性质测试,再以前的定理中,常常必须检查一个有穷自动机是否接受一个特殊的串,在下面的证明中,要检查一个有穷自动机是否根本不接受任何串,令
E D F A = { < A > ∣ A 是 D F A , 且 L ( A ) = ∅ } E_{DFA} = \lbrace <\text{A}>\ |\ A \text{是} DFA,\ \text{且} L(A) = \varnothing \rbrace
E D F A = { < A > ∣ A 是 D F A , 且 L ( A ) = ∅ }
定理 :E D F A E_{DFA} E D F A 是一个可判定语言
DFA相同接受问题
检查两个DFA是否识别同一个语言是可判定的,设
E Q D F A = { < A , B > ∣ A 和 B 都是 D F A , 且 L ( A ) = L ( B ) } EQ_{DFA} = \lbrace <A, B>\ |\ A \text{和} B\text{都是} DFA,\ \text{且} L(A) = L(B) \rbrace
E Q D F A = { < A , B > ∣ A 和 B 都是 D F A , 且 L ( A ) = L ( B ) }
定理 :E D F A E_{DFA} E D F A 是一个可判定语言
Mapping Reductions
A function f : Σ 1 ∗ → Σ 2 ∗ f : \Sigma^*_1 \rightarrow \Sigma^*_2 f : Σ 1 ∗ → Σ 2 ∗ is called a mapping reduction from A to B iff
For any w ∈ Σ1*, w ∈ A iff f(w) ∈ B.
f is a computable function.
Intuitively, a mapping reduction from A to B says that a computer can transform any instance of A into an instance of B such that the answer to B is the answer to A.
1 2 3 4 5 H = “On input w: · Transform the input w into f(w). · Run machine R on f(w). · If R accepts f(w), then H accepts w. · If R rejects f(w), then H rejects w.”
Mapping Reductions相关定理
R代表可以用图灵机解决的所有决定型问题问题。
也就是所有递归语言 的集合。R也等同于包含所有可计算函数的集合。
RE(Recursively Enumerable,参考递归可枚举集合)是一个决定型问题的复杂度类
RE也可以视为存在一个将问题里面"yes"的答案一一列举出来的图灵机(也就是这里所说’可枚举的’的意思)。
co-RE则是所有RE语言其补集(complement)的总集合。
某种意义上我们可以说,co-RE包含的语言,其里面的问题要证明为错误,只要有限的时间;但是可能要无限的时间,才能证明这问题正确。
当B ∈ R B \in R B ∈ R 且A ≤ M B A \leq_M B A ≤ M B ,则A ∈ R A \in R A ∈ R
当B ∈ R E B \in RE B ∈ R E 且A ≤ M B A \leq_M B A ≤ M B ,则A ∈ R E A \in RE A ∈ R E
当B ∈ c o − R E B \in co-RE B ∈ c o − R E 且A ≤ M B A \leq_M B A ≤ M B ,则A ∈ c o − R E A \in co-RE A ∈ c o − R E
注释: A ≤ M B A \leq_M B A ≤ M B means “A is not harder than B.”
当A ∉ R A \notin R A ∈ / R 且 A ≤ M B A \leq_M B A ≤ M B ,则B ∉ R B \notin R B ∈ / R
当A ∉ R E A \notin RE A ∈ / R E 且 A ≤ M B A \leq_M B A ≤ M B ,则B ∉ R E B \notin RE B ∈ / R E
当A ∉ c o − R E A \notin co-RE A ∈ / c o − R E 且 A ≤ M B A \leq_M B A ≤ M B ,则B ∉ c o − R E B \notin co-RE B ∈ / c o − R E
上下文无关语言相关的可判定性问题
定理 :每个上下文无关语言都是可判定的
CGF派生问题
检查一个CFG是否派生一个特定的串
A C F G = { < R , w > ∣ R 是 C F G , w 是串 , G 派生 w } A_{CFG} = \lbrace <R, w>\ |\ R \text{是} CFG,\ w \text{是串},\ G \text{派生} w \rbrace
A C F G = { < R , w > ∣ R 是 C F G , w 是串 , G 派生 w }
定理 :A C F G A_{CFG} A C F G 是一个可判定语言
CGF不派生问题
检查一个CFG是否不派生任何串
E C F G = { < G > ∣ G 是 C F G , 且 L ( G ) = ∅ } E_{CFG} = \lbrace <G>\ |\ G \text{是} CFG,\text{且}L(G) = \varnothing \rbrace
E C F G = { < G > ∣ G 是 C F G , 且 L ( G ) = ∅ }
定理 :E C F G E_{CFG} E C F G 是一个可判定语言
对角化问题
如果两个集合都是无限的,怎么比较它们的相对规模?
VIDEO
定义 :设A A A 和B B B 是两个集合,f f f 是从A A A 到B B B 的函数
如果f f f 从不将两个不同元素映射到同一个地方,即:只要a ≠ b ⇒ f ( a ) ≠ f ( b ) a \neq b \Rightarrow f(a) \neq f(b) a = b ⇒ f ( a ) = f ( b ) ,则称f f f 是一对一 的
如果f f f 能击中B B B 的每个元素,即:对B B B 的每个元素b b b ,都存在a ∈ A a \in A a ∈ A ,使得f ( a ) = b f(a) = b f ( a ) = b ,则称f f f 是到上的
如果存在一对一且到上的函数f : A → B f: A \rightarrow B f : A → B ,即是一对一又是到上的函数称为对应 ,称A A A 和B B B 有相同的规模
关系
对应
一对一
单射
到上的
全射
一对一且到上的
全单射
定义 :称一个集合是可数的,如果它是有限的,或者它与N \mathbb{N} N 有相同的规模
定理 :R \mathbb{R} R 是不可数的(∃ x ∈ R \exist x \in \mathbb{R} ∃ x ∈ R 和N \mathbb{N} N 中任何元素都不匹配)
推论 :存在语言不是图灵可识别的(有不可数个语言,却只有可数个图灵机)
由于图灵机只能识别一个语言,而语言比图灵机更多,故有些语言不能由任何的图灵机识别,这样的语言就不是图灵可识别的
停机问题
下列语言是不可判定的
A T M = { < M , w > ∣ M 是 T M , 且 M 接受 w } A_{TM} = \lbrace <M, w>\ |\ M \text{是} TM,\text{且} M \text{接受} w \rbrace
A T M = { < M , w > ∣ M 是 T M , 且 M 接受 w }
设H H H 是A T M A_{TM} A T M 的判定器,令M M M 是一个T M TM T M ,w w w 是一个串,在输入< M , w > <M, w> < M , w > 上,如果M M M 接受w w w ,则H H H 就停机且接受w w w ,如果M M M 不接受w w w ,则H H H 也会停机,但拒绝w w w ,即
H ( < M , w > ) = { 接受 如果 M 接受 w 拒绝 如果 M 不接受 w H(<M, w>) = \begin{cases}
\text{接受} & \text{如果}M\text{接受}w
\\
\text{拒绝} & \text{如果}M\text{不接受}w
\end{cases}
H ( < M , w > ) = { 接受 拒绝 如果 M 接受 w 如果 M 不接受 w
现在构造一个新的图灵机D D D ,它接受一个图灵机作为输入,调用H H H 进行判定
D ( < M > ) = { 接受 如果 M 不接受 w 拒绝 如果 M 接受 w D(<M>) = \begin{cases}
\text{接受} & \text{如果}M\text{不接受}w
\\
\text{拒绝} & \text{如果}M\text{接受}w
\end{cases}
D ( < M > ) = { 接受 拒绝 如果 M 不接受 w 如果 M 接受 w
将D D D 作为输入,传进D D D 里面运行后,会出现一下矛盾
D ( < D > ) = { 接受 如果 D 不接受 D 拒绝 如果 D 接受 D D(<D>) = \begin{cases}
\text{接受} & \text{如果}D\text{不接受}D
\\
\text{拒绝} & \text{如果}D\text{接受}D
\end{cases}
D ( < D > ) = { 接受 拒绝 如果 D 不接受 D 如果 D 接受 D
因此D D D 和H H H 都逻辑上不存在
时间复杂度
定义 :令M是一个在所有输入上都停机的确定型图灵机,M的运行时间 ,或者说时间复杂度 ,是一个函数f : N → N f: \mathcal{N} \rightarrow \mathcal{N} f : N → N ,其中f ( n ) f(n) f ( n ) 是M在所有长度上运行时所经过的最大步数。若f ( n ) f(n) f ( n ) 是M的运行时间,则称M在时间f ( n ) f(n) f ( n ) 内运行,M是f ( n ) f(n) f ( n ) 时间图灵机
大O记法 :小于等于
小o记法 :小于
θ \theta θ 记法 :等于
Ω \Omega Ω 记法 :大于等于
ω \omega ω 记法 :大于
定理 :设t ( n ) t(n) t ( n ) 是一个函数,t ( n ) ≥ n t(n) \geq n t ( n ) ≥ n ,则每一个t ( n ) t(n) t ( n ) 时间的多带图灵机都与某一个O ( t 2 ( n ) ) O(t^2(n)) O ( t 2 ( n ) ) 时间的单带图灵机等价
定理 :设t ( n ) t(n) t ( n ) 是一个函数,t ( n ) ≥ n t(n) \geq n t ( n ) ≥ n ,则每一个t ( n ) t(n) t ( n ) 时间的非确定单带图灵机都与某一个2 O ( t ( n ) ) 2^{O(t(n))} 2 O ( t ( n ) ) 时间的确定型单带图灵机等价
多项式时间
多项式时间复杂度 :算法的复杂度表示为O ( n k ) O(n^k) O ( n k ) ,也就是问题的规模n n n 在底数
指数型时间复杂度 :算法的复杂度表示为O ( k n ) O(k^n) O ( k n ) 或O ( n ! ) O(n!) O ( n ! )
所有合理的确定型计算模型都是多项式等价的,也就是,它们中任何一个模型都可以模拟另一个,而运行时间只增长多项式倍。
忽略运行时间的多项式倍差异是让人疑惑的,实际上,真正的程序当然在乎这种差异,决定忽略多项式倍差异,并不是说这样的差异不重要,但是某些问题,如:因数分解问题,是多项式的还是非多项式的,与多项式倍差异无关,而这些问题也很重要,P,NP,NPC仅仅关注这种类型的问题。
P类
定义 :P是确定型单带图灵机在多项式时间内可判定的语言类
P = ⋃ k TIME ( n k ) P = \bigcup_k \text{TIME}(n^k)
P = k ⋃ TIME ( n k )
对于所有与确定型单带图灵机多项式等价的计算模型来说,P是不变的
P大致对应于在计算机上实际可解的问题类
通俗的说,P问题是可以找到一个只有多项式复杂度的算法的问题
定理 :每一个上下文无关语言都是P的成员
NP类
定义 :NP是具有多项式时间验证机的语言类,NP即非确定型多项式时间
N P = ⋃ k NTIME ( n k ) NP = \bigcup_k \text{NTIME}(n^k)
N P = k ⋃ NTIME ( n k )
通俗的说明N P NP N P 问题,对于某些问题,我们很难找到一个多项式时间复杂度的算法,或许根本不存在算法可以解决这个问题,但是,如果给我们一个解,我们可以判断这个解是不是符合要求的,比如无法找到一个生成质数的表达式,但是我们可以验证一个数是否是质数。这就是NP问题。由此可知,所有的P P P 问题都是N P NP N P 问题。
定理 :一个语言在NP中,当且仅当它能够被某个非确定性多显示时间图灵机判定
P与NP问题
P = 成员资格可以快速地判定的语言类 N P = 成员资格可以快速地验证的语言类 \begin{aligned}
P &= \text{成员资格可以快速地判定的语言类}
\\
NP &= \text{成员资格可以快速地验证的语言类}
\end{aligned}
P N P = 成员资格可以快速地判定的语言类 = 成员资格可以快速地验证的语言类
对于HAMPATH和CLIQUE,它们是NP成员,但是不知道是否属于P,但是还不能证明在NP中存在一个不属于P的语言。
NPC类
也称NP完全,NP中某一些问题的复杂性与整个类的复杂性相关联,这些问题中任何一个如果存在多项式时间算法,那么所有NP问题都是多项式时间可解的,这类问题称为NP完全
定义 :称语言B为NP完全的,如果它满足以下的两个条件
B属于NP
NP中的每个A都多项式时间内可归约到B
定理 :若B是NP完全的,且B ∈ P B \in P B ∈ P ,则P = N P P = NP P = N P
定理 :若B是NP完全的,且B ≤ p C B \leq_p C B ≤ p C ,C属于NP,则C是NP完全的
NPH问题 :
任意的一类N P NP N P 问题都可以在多项式时间内归类 为某个X X X 问题,但是这个问题本身可能不是N P NP N P 问题,如果我们要解决这类NP问题,我们需要解决问题X X X ,而解决问题X X X 就间接解决了这类N P NP N P 问题。
NPC问题 :
这个问题既是N P NP N P 问题又是N P H NPH N P H 问题
参考文献